Beta Glucan là gì và Beta Glucan giúp tăng cường miễn dịch thế nào?
Beta Glucan là các polysaccharide có trong tự nhiên được sản xuất bởi vi khuẩn, nấm men và nhiều loại thực vật. Mặc dù các hoạt động dược lý của beta glucan, chẳng hạn như điều hòa miễn dịch, tác dụng chống nhiễm trùng và chống ung thư đã được nghiên cứu kỹ lưỡng, cách thức hoạt động của beta glucan đối với khả năng giúp tăng cường miễn dịch trong cơ thể nói chung vẫn chưa rõ ràng.

β-glucans là các polysacarit phức tạp được tìm thấy trong một số loại thực vật và thực phẩm, bao gồm cả nấm.

β-glucans thể hiện một loạt các đặc tính trị liệu tiềm năng
β-glucans có tác dụng chuyển hóa và dạ dày-ruột, điều chỉnh hệ vi sinh vật đường ruột, thay đổi chuyển hóa lipid và glucose, giảm cholesterol, dẫn đến việc điều tra chúng như là liệu pháp tiềm năng cho hội chứng chuyển hóa, béo phì và điều chỉnh chế độ ăn uống, các tình trạng đường tiêu hóa như ruột kích thích, và để giảm nguy cơ tim mạch và tiểu đường.
Beta-glucans cũng có tác dụng điều chỉnh miễn dịch, dẫn đến việc điều tra chúng như là tác nhân bổ trợ cho bệnh ung thư (khối u ác tính và huyết học), cho các tình trạng qua trung gian miễn dịch (ví dụ: viêm mũi dị ứng, nhiễm trùng đường hô hấp) và để tăng cường chữa lành vết thương.
Tiềm năng điều trị của β-glucans được chứng minh bằng thực tế là hai loại glucan phân lập đã được cấp phép làm thuốc ở Nhật Bản dưới dạng liệu pháp bổ trợ miễn dịch cho bệnh ung thư vào năm 1980.
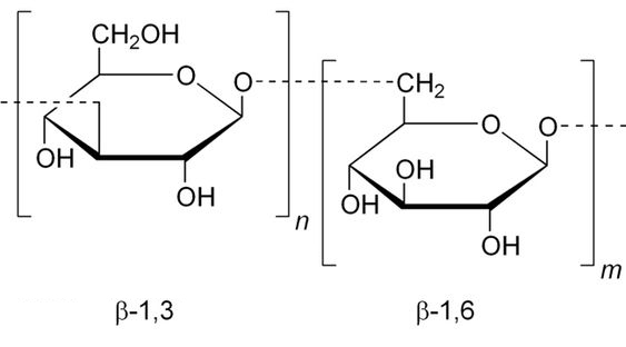
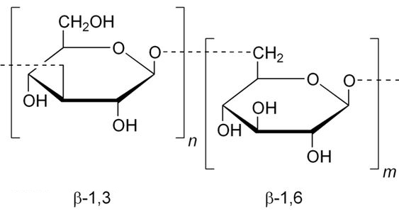
Beta glucan là một dạng polysaccharide không đồng nhất của phức hợp glucose polyme. Theo đó, hoạt tính của beta glucan phụ thuộc vào cấu trúc phân tử, kích thước, tần số phân nhánh, sửa đổi cấu trúc, hình dạng và độ hòa tan. Trong các beta glucan, những beta glucan có hoạt tính sinh học thường có trọng lượng phân tử lớn.
Trong nhiều thế kỷ, y học cổ truyền Trung Quốc đã sử dụng nấm để chữa bệnh và hiện tại, các mối quan tâm tập trung vào beta glucan là thành phần hóa học cấu trúc trong thành tế bào nấm. Vì vậy, beta glucan là lý do chính khiến nấm được sử dụng trong mỹ phẩm, làm phụ gia thực phẩm hoặc dùng làm thuốc điều trị nhiều bệnh lý khác nhau.
2) Beta-glucan giúp tăng cường miễn dịch như thế nào?
Trong lĩnh vực miễn dịch học, beta glucan thường được gọi là chất điều chỉnh phản ứng sinh học, hiện được công nhận là thuốc chống khối u và chống nhiễm trùng. Điều này nhờ vào beta glucan đã được chứng minh là bảo vệ cơ thể chống lại sự lây nhiễm của vi khuẩn, vi rút và vi sinh vật gây bệnh.
Ngoài ra, beta glucan cũng ngăn ngừa ung thư hay ung thư đang tiến triển cũng như có tác dụng hiệp đồng chống khối u với kháng thể đơn dòng và hóa trị liệu ung thư. Bên cạnh đó, beta glucan thúc đẩy độc tính tế bào phụ thuộc vào kháng thể thông qua một con đường sinh học liên quan đến chất sinh ung thư. Tuy nhiên, các nghiên cứu cho thấy beta glucan có thể không ảnh hưởng trực tiếp đến tế bào ung thư hoặc vi sinh vật lây nhiễm, thay vào đó, beta glucan hoạt động sinh học là thông qua việc kích hoạt hệ thống miễn dịch của vật chủ.
Như vậy, qua nhiều năm, tác dụng của beta glucan đối với các tế bào miễn dịch đã được thiết lập rõ ràng. Cụ thể là đại thực bào và tế bào đuôi gai được coi là tế bào đích chính của β-glucans, mặc dù bạch cầu trung tính, tế bào B, tế bào T và tế bào giết tự nhiên cũng là được biết là được hoạt hóa bởi β-glucan. Khả năng điều hòa miễn dịch hoạt động của beta glucan thường được nghiên cứu liên quan đến hoạt hóa đại thực bào. Qua đó, beta glucan tăng cường hoạt động gây độc tế bào và các tế bào gây viêm của đại thực bào, nâng cao kiểu hình và thúc đẩy hoàn thiện chức năng của các tế bào đuôi gai.
Hơn nữa, tác dụng kích thích của beta glucan trên tế bào lympho T cũng đã được báo cáo. Đây chính là tác nhân giúp tăng cường các chức năng của tế bào T đặc hiệu với vi rút khi tạo miễn dịch chủ động do vắc xin tạo ra, hoạt động như một chất bổ trợ cho vắc-xin. Ngoài ra, beta glucan còn giúp tăng cường chức năng tế bào T ở bệnh nhân ung thư.
3) Các thực phẩm chứa Beta Glucan trong tự nhiên
Các bác sĩ và chuyên gia dinh dưỡng thường khuyến nghị mọi người tăng cường tiêu thụ beta glucans thông qua chế độ ăn uống hằng ngày hơn là dùng thực phẩm bổ sung. Tuy nhiên, các chất bổ sung beta glucan có sẵn vẫn thường được xem là an toàn và dung nạp tốt nếu chế độ dinh dưỡng khó đảm bảo theo tiêu chuẩn mỗi ngày.
Theo đó, các loại thực phẩm có chứa beta glucan bao gồm:
- Yến mạch, lúa mạch, lúa mì, lúa mạch đen và lúa miến
- Rong biển
- Tảo nâu
- Men của thợ nấu bia và thợ làm bánh
- Reishi, nấm hương và nấm agaricus

Hoạt chất Beta-glucan có nhiều trong nấm agaricus
Trong đó, nấm agaricus có lượng beta glucan cao. Loại nấm này thường được kết hợp với các loại tảo nâu của Nhật Bản để cho ra đời các dòng sản phẩm hỗ trợ bảo vệ sức khoẻ tốt. Không những vậy, các loại tảo nâu của Nhật Bản còn được người dân Nhật Bản rất ưa chuộng và được sử dụng hàng ngày qua các bữa ăn, nó đã trở thành món ăn không thể thiếu của người dân Nhật Bản nhiều thập kỷ qua
4) Những điều cần lưu ý khi sử dụng beta glucan
Việc tiêu thụ một lượng beta glucan được khuyến nghị thông qua các lựa chọn chế độ ăn uống có thể không gây ra tác dụng phụ. Tuy nhiên, việc bổ sung beta glucan tổng hợp có thể mang lại các tác dụng phụ và rủi ro tiềm ẩn, như gây ra bệnh tiêu chảy, buồn nôn hoặc nôn ói.
Mặt khác, khi được chỉ định bổ sung beta glucan bằng hình thức truyền tĩnh mạch, người bệnh có thể gặp phải các tác dụng phụ như sau:
- Đau lưng và đau khớp
- Sốt và ớn lạnh
- Đi tiểu nhiều
- Bệnh tiêu chảy
- Thay đổi huyết áp
- Viêm da
- Sưng hạch bạch huyết
Chính vì vậy, mặc dù các chất bổ sung beta glucan đã được ghi nhận là có nhiều vai trò đối với sức khỏe và có thể sử dụng an toàn, chúng có thể không an toàn cho tất cả mọi người. Những sản phẩm này có thể làm trầm trọng thêm các tác dụng phụ trên đường tiêu hóa của việc điều trị ung thư và ảnh hưởng đến một số loại thuốc điều trị bệnh khác.
Theo đó, nếu muốn dùng beta glucan hoặc sử dụng bất kỳ loại liệu pháp bổ sung nào, người bệnh hãy nói chuyện với bác sĩ chuyên khoa ung thư trước để đảm bảo rằng cơ thể phù hợp sử dụng các sản phẩm này.
Tóm lại, betaglucan đã được nghiên cứu không ngừng về các tác dụng cải thiện hệ miễn dịch và tăng cường khả năng chống lại các bệnh truyền nhiễm và ung thư cũng làm nổi bật vai trò nhiều mặt của phân tử này. Tuy nhiên, nguồn gốc của beta glucan đến từ thành phần thiên nhiên luôn được khuyến khích hơn cả, trong khi các sản phẩm tổng hợp cần thêm thời gian nghiên cứu tính an toàn để giúp cơ thể không chỉ chống chọi với cảm lạnh thông thường và nhiễm trùng đường hô hấp mà còn các bệnh nghiêm trọng hơn, bao gồm cả ung thư.
THỰC PHẨM BẢO VỆ SỨC KHOẺ FUCOIDAN 3-PLUS NHẬT BẢN

1) Thành phần chính có trong viên uống NatureMedic Fucoidan 3-Plus là gì?
-
Được chiết xuất từ 3 loại Fucoidan tinh khiết cao: Mozuku, Mekabu, Fucus Fucoidan và chiết xuất sợi nấm Agaricus, Fucoidan 3-Plus là sản phẩm tiên phong trong lĩnh vực Thực phẩm Chức Năng
-
Mozuku Fucoidan: Lượng Fucoidan tinh khiết cao đã được chiết xuất từ tảo Mozuku tươi đã được thu hoạch ở những vùng biển ở Okinawa sạch và đẹp của Nhật Bản (lượng Fucoidan cô đặc khoảng 85%).
-
Mekabu Fucoidan: Fucoidan đã được chứng nhận hữu cơ từ Úc và được chiết xuất từ những mầm của tảo biển nâu Wakame. Nó chứa Fucoidan tinh khiết cao không nhiễm các chất phóng xạ và các kim loại nặng (lượng Fucoidan cô đặc khoảng 85%).
-
Fucus Fucoidan: Fucoidan đã đạt các chứng nhận hữu cơ và được chiết xuất từ tảo Bladder Wrack (hay tảo Fucus vesiculosus) ở Đại Tây Dương mà được xem là đại dương trong lành nhất trên thế giới (lượng Fucoidan cô đặc khoảng 85%).
-
Chiết xuất nấm Agaricus Blazei nổi tiếng bởi chứa hàm lượng cao các phân tử beta-glucan và việc kích thích cho các tế bào miễn dịch hoạt động.
-
Men bia: Giúp thúc đẩy tích cực môi trường trong ruột khỏe mạnh và miễn nhiễm.
2) Viên uống NatureMedic Fucoidan 3-Plus Nhật Bản có tác dụng gì?
-
Tăng cường miễn dịch, tăng sức đề kháng cho người ốm yếu. Đặc biệt là cho bệnh nhân ung thư
-
Hỗ trợ chống oxy hoá, năng cao sức khoẻ
-
Giảm tác dụng phụ của hoá trị, xạ trị, và truyền hoá chất
-
Tăng sinh tế bào NK giúp thúc đẩy quá trình tự chết của tế bào ung thư
-
Tăng cường chức năng gan, bảo vệ tế bào gan, hỗ trợ điều trị xơ gan, viêm gan
3) Những ai nên dùng viên uống NatureMedic Fucoidan 3-Plus?
- Người bị ung thư
- Người sống trong môi trường độc hại có nguy cơ gây ung thư cao
- Người có sức đề kháng kém, khả năng miễn dịch yếu
- Người bị bệnh gan: Viêm gan, xơ gan, ung thư gan, men gan cao, hay nổi mề đay
Nếu bạn có câu hỏi gì về sản phẩm hãy gọi cho chúng tôi Điện thoại 02462.96.94.95 - Hotline 0938.646.729 để được tư vấn và giải đáp thắc mắc!